Decomposition and estimation of gauge transformation for Chern-Simons-Antoniadis-Savvidy forms
DOI:
https://doi.org/10.59190/stc.v2i3.9Keywords:
Cartan Homotopy, ChSAS Forms, Gauge Transformation, Gravity Anomaly, Zumino AnomalyAbstract
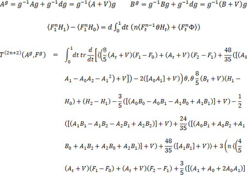
Cartan's extended homotopy formula is set to obtain the Chern-Simons-Antoniadis-Savvidy (ChSAS) measurement form transformation. This indicates a change in each of the results that the quasi-invariance nature of the gauge with a closed shape under the meter transformation. The results of the initial calculation of the ChSAS form then show a singlet anomaly for each value of n as a dimension variation. These results have illustrated the relationship with the Chern-Simon form theory. The results of the final calculation of the ChSAS shape on the gauge transformation are then described in relation to the Zumino anomaly which reaches an anomaly variation that depends on the p and n terms.
Downloads
Published
How to Cite
Issue
Section
License
Copyright (c) 2022 Suhaivi Hamdan, Erwin Amiruddin

This work is licensed under a Creative Commons Attribution 4.0 International License.









